🚀RF-DETR:高精度实时目标检测模型来袭!
License
Apache-2.0
Stars
2.9k
Forks
336
摘要
RF-DETR 是 Roboflow 开发的一款基于 Transformer 的实时目标检测模型,适用于 COCO 和 RF100-VL 等数据集。该模型以其高精度和低延迟脱颖而出,是视觉检测领域的优质选择。
内容
大家好!今天要给大家介绍一款非常值得关注的开源目标检测模型——RF-DETR。它由 Roboflow 开发,采用 Transformer 架构,在 COCO 和 RF100-VL 等多个基准上表现优异。
🔍 **功能亮点**
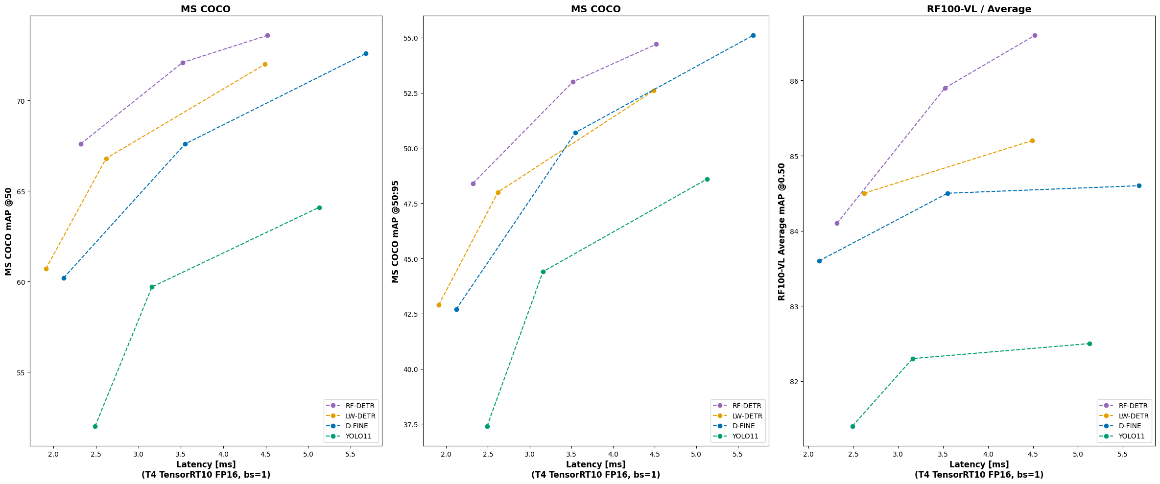
RF-DETR 提供了多种模型变体(Nano、Small、Medium、Base、Large),每种都针对不同的性能需求进行了优化。例如,RF-DETR-N 在 COCO 上比 YOLO11-N 高出 10 mAP,同时还能保持更快的推理速度。对于无人机、卫星和雷达等特殊场景,RF-DETR-M 的表现也优于 YOLO11-M。
💡 **使用场景**
这款模型非常适合需要在边缘设备或生产环境中部署的应用,比如自动驾驶、智能安防、工业检测等领域。其灵活性和高效性使其成为视觉任务中的实用工具。
⚡ **优势总结**
- 实时性强:适合对速度要求高的应用。
- 高精度:在多个数据集上达到了 SOTA(最先进)效果。
- 易于部署:支持 ONNX 格式导出,并提供详细的训练教程。
🔥 **热度与反馈**
目前 GitHub 上已经获得了 2.9k 个 star 和 336 个 fork,说明社区关注度很高。此外,项目还提供了 YouTube 教程,帮助用户快速入门并进行微调训练。
📦 **安装方式**
你可以通过 pip 安装 RF-DETR 包,或者直接从源代码安装最新版本。具体方法可以查看官方文档,操作非常简单。
📈 **未来展望**
Roboflow 团队正在开发 RF-DETR Large 和 X-Large 模型,相信它们会进一步提升性能。更多详情可查看官方文档和 GitHub 页面。
如果你也在寻找一个兼具高精度和实时性的目标检测模型,不妨试试 RF-DETR!可在下方留言交流你的体验哦~
